科研进展 | 本实验室姚道新教授团队在三层镍氧超导理论方面取得重要进展

稿件来源:广东省磁电物性分析与器件重点实验室 编辑:陈翠群 责任审核人:赵福利

 

      中山大学物理学院、广东省磁电物性分析与器件重点实验室的姚道新教授最近在三层镍氧超导体的理论研究中取得重要进展,提出了三层非常规超导体La4Ni3O10的6轨道与16轨道模型,结合第一性原理和自旋磁化率计算,分析了压力下La4Ni3O10的电子性质与磁涨落。2024年7月2日,该成果以“Trilayer multiorbital models of La4Ni3O10”为题,以中山大学为第一单位发表在物理期刊《物理评论B》(Physical Review B 110, 014503(2024)).     

      自2023年中山大学王猛教授团队和合作者在实验上发现了高温双层非常规镍氧超导体La3Ni2O7以来,高温超导的物理机制成为了凝聚态物理的一大研究热点,尤其是关联效应对电子结构的影响,以及压力如何诱导非常规超导配对的产生。中山大学姚道新教授团队提出了La3Ni2O7的双层两轨道模型和11轨道模型,给出了电子能带和自旋响应函数,对理解其微观结构和超导机理起到了非常关键的作用[Physical Review Letters 131, 126001 (2023)]。2023年下半年,南京大学闻海虎教授、复旦大学赵俊教授、上海科技大学齐彦鹏教授等团队报道了三层镍氧超导体La4Ni3O10材料的加压超导转变迹象,特别是赵俊教授团队发现三层镍氧超导体La4Ni3O10在43 GPa下会进入零电阻超导态。中山大学王猛教授团队和姚道新教授团队通过实验和理论表明La4Ni3O10材料在12.6-13.4Gpa压力下经历一个结构相变,从低压的单斜P21/a相转变为高压的四方I4/mmm 相[Sci. China-Phys. Mech. Astron. 67, 117403 (2024)]。与La3Ni2O7 不同的是,La4Ni3O10的超导温度仅达到20~30 K,并且随着压力的增加,La4Ni3O10的超导温度由15 GPa的4.5 K增大至69 GPa下的30K。这说明压力对镍氧超导体中超导态的产生具有重要的作用,压力下La4Ni3O10的物理性质也因此成为了大家热切关注的焦点。理论模型对理解La4Ni3O10的微观结构与超导机理至关重要,对分析双层与三层镍氧超导体的异同非常关键,成为镍氧超导体的一个新的研究高峰。

      姚道新教授团队对La4Ni3O10常压下的P21/a相和高压下的?4/?mm相进行了第一性原理研究,计算结果表明Ni-dz2轨道在费米面附近形成成键态、非键态与反键态,其中,成键态在压力的作用下穿过费米面,具有和La3Ni2O7相似的σ电子金属化特征。通过对电子能带和轨道占据数的分析,研究团队揭示了压力在其中起到关键的双重效应。

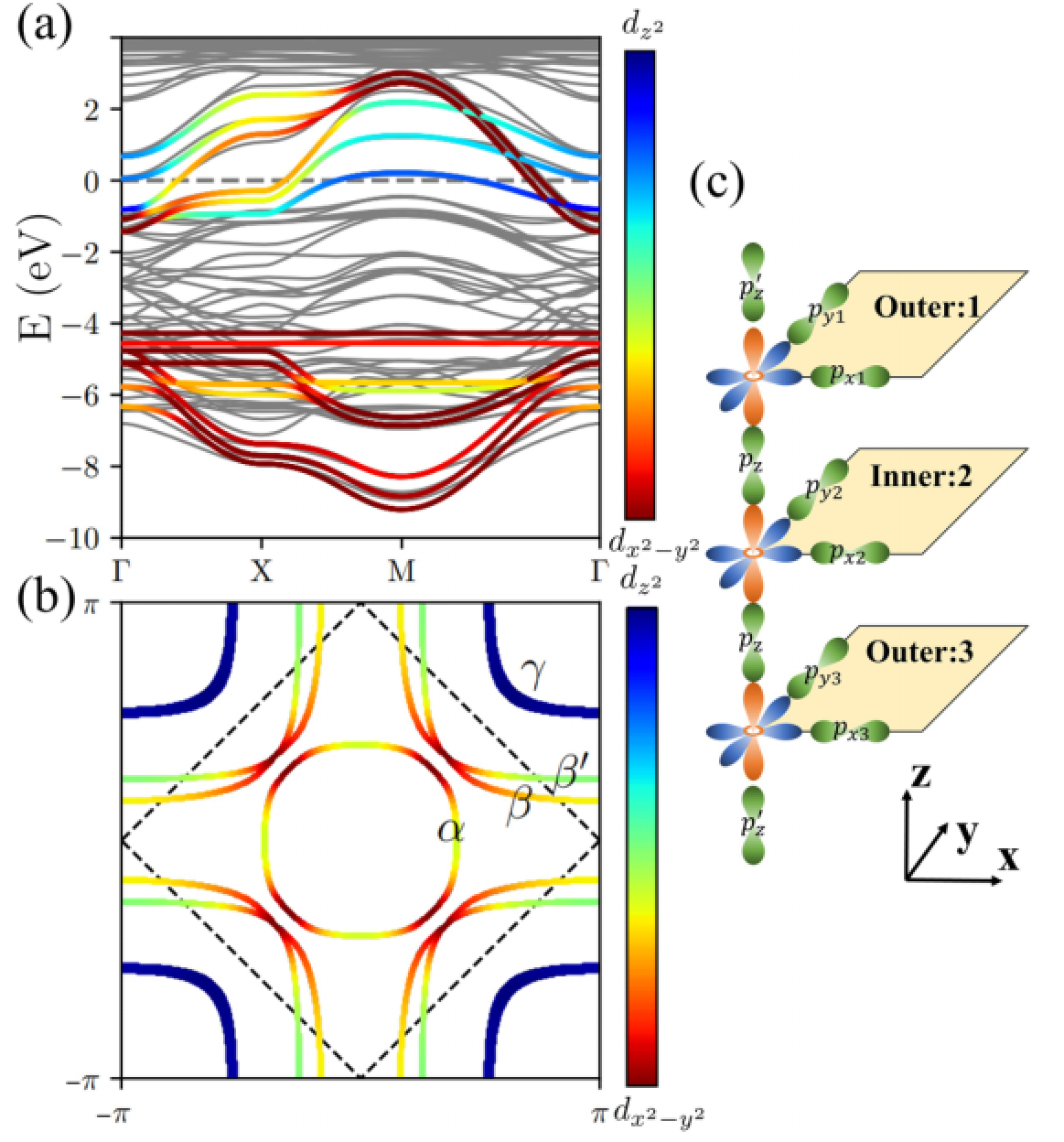
      利用Wannier轨道投影,姚道新教授团队提出了三层两轨道模型(6轨道模型)。该模型的计算结果表明La4Ni3O10在费米面具有四个费米口袋,即?、?、?′和?,与La3Ni2O7相似。基于这一模型,研究团队在随机相位近似下计算了La4Ni3O10高压下的自旋磁化率,结果表明dx2-y2轨道对系统的磁涨落也有重要的影响。

 

图1:(a)La4Ni3O10的三层两轨道模型轨道分布与电子跃迁。(b)La4Ni3O10中Ni-轨道电子占据示意图。(c)-(d)基于三层两轨道模型计算的电子能带

与费米面。

 

      进一步地,姚道新教授团队考虑了镍原子和氧原子d p轨道之间的跃迁,率先提出了包含6个Ni-d轨道和10个O-p轨道的16轨道模型,表明可以在Zaanen-Sawatzky-Allen框架下描述三层镍氧超导体La4Ni3O10中的电荷转移。在这一更大的基矢下,仅需考虑最近邻的12个跃迁就能够还原La4Ni3O10中主要的物理图像,为后续研究La4Ni3O10及系列镍氧超导体中的强关联效应与超交换作用等物理机制提供了基础。

 

图2:La4Ni3O10的16轨道模型计算的能带(a)和费米面(b)。(c)16轨道模型轨道分布与电子跃迁。

 

      研究成果于2024年7月2日发表在Physical Review B  110, 0145032024(DOI:  https://doi.org/10.1103/PhysRevB.110.014503)。

      中山大学物理学院、广东省磁电物性分析与器件重点实验室博士研究生陈翠群为论文的第一作者,中山大学姚道新教授、罗志辉博士为通讯作者,中山大学王猛教授、吴为副教授参与了该研究工作。中山大学的理论研究工作依托物理学院公共科研平台和中子科学平台、广东省磁电物性分析与器件重点实验室、光电材料与技术国家重点实验室、高等学术研究中心。计算工作依托中山大学国家超级计算广州中心。

      上述工作得到了国家重点研发计划、国家自然科学基金、广东特支计划领军人才项目等的资助。

 

原文链接:

 https://doi.org/10.1103/PhysRevB.110.014503