
2023年7月13日《自然》杂志在线刊登了物理学院王猛教授团队在高温超导材料中的研究进展。该成果报道了一种镍氧化物单晶在14GPa压力下出现80K的超导电性,成为继铜氧化物高温超导体之后第二类进入液氮温区的氧化物超导体。该成果由我院王猛教授团队、姚道新教授团队、清华大学张广铭教授、华南理工大学唐玲云、毛忠泉老师、中国科学院物理研究所程金光研究员团队、美国亚利桑那州立大学韩艺丰博士合作完成。
1911年,荷兰科学家(卡末林·昂内斯)首次在4.2K以下发现汞的零电阻现象,后被称之为超导电性。1933年德国科学家(瓦尔特·迈斯纳)发现锡和铅在进入超导后磁场被完全排除在超导体外,即迈斯纳效应。1957年,美国科学家约翰·巴丁、利昂·库珀和罗伯特·施里弗提出了超导电性的微观理论,成功地解释了传统金属和合金的超导电性。超导体因其独特的性质,其应用涉及信息技术、生物医学、科学仪器、电力、交通运输等众多领域,但大多受限于超导转变温度在40K以下。
1986年,荷兰科学家缪勒和柏诺兹在铜氧化物材料中发现35K的超导电性,随后被包括中国科学家在内的多国科学家将超导转变温度提高到90K以上,超过液氮温度77K。缪勒和柏诺兹于1987年获得诺贝尔物理学奖。我国以赵忠贤院士为首的研究团队因在铜氧化物研究中的突出贡献于1990年获得国家自然科学一等奖。铜氧化物的发现快速推动了高温超导机理研究及应用研究。然而,经过近40年的研究高温超导机理仍然未知,铜氧化物仍然是唯一达到液氮温区的非常规超导体系。2008年发现的铁基非常规超导体,其块材最高超导转变温度为55K。我国科研人员在铁基超导材料和机理研究中也做出了突出贡献,相关研究团队获颁2013年度国家自然科学一等奖。
在铜氧化物超导电性发现之初,研究人员即开始在镍氧化物等与铜相近的过渡金属元素化合物中寻找高温超导电性。直到2019年美国斯坦福大学研究团队报道在Nd0.8Sr0.2NiO2薄膜样品中观测到了15K左右的超导电性。在该薄膜材料中,镍离子接近正1价,其电子排布与正2价铜离子相近。人们认为其超导机理可能与铜氧化物相似,并广泛在正1价的镍氧化物中寻找超导材料。然而,超导电性仅在薄膜样品中被发现,超导转变温度均在20K以下,压力下也未超过40K。一般被认为常规超导转变温度上限为40K。近几年人们在富氢化合物中发现在极端高压条件下超导转变温度可以超过200K,其超导机理仍为常规电声耦合超导。
物理学院自2017年开始建设学院公共科研平台,涵盖凝聚态物理、光学、软物质物理、粒子物理、理论物理等学科方向。凝聚态物理学科目前己建设完成了一流的材料生长和表征实验条件。王猛教授领导的研究团队自2020年初开始利用学院公共科研平台的高压光学浮区炉生长镍氧化物单晶样品,在体材料中探索超导电性。本工作中报道的La3Ni2O7单晶样品中Ni的平均价态为2.5价,偏离Ni的稳定价态正2价,生长条件极为困难,氧压范围窄。研究团队通过两年多的时间摸索出生长条件,在国际上率先报道了单晶样品的详细物理性质,发现其中可能存在电荷密度波序的实验证据(见图1)[Sci. China-PMA.66,217411(2023)]。

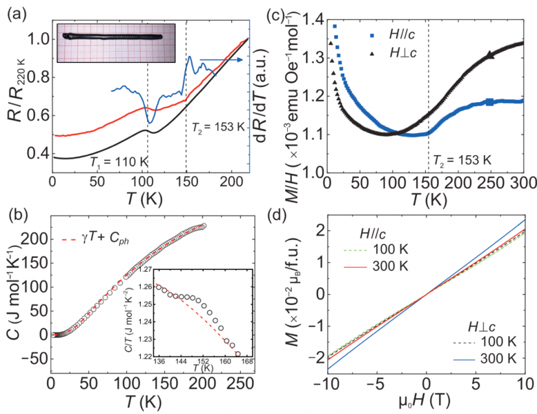
图 1. La3Ni2O7单晶样品常压下的电阻、磁化率、比热及磁化强度随磁场变化关系。数据显示在110K和153K存在两个可能的相变温度。
随后团队基于自主搭建的高压实验研究平台并结合物理学院公共科研平台设备综合物性测量系统,对La3Ni2O7单晶样品开展了百万大气压下的电输运性质研究。通过电阻发现在80K左右有明显的电阻下降,80K以上存在线性电阻(见图2a)。通过改变传压介质、改进高压测试方法,在电阻上看到显著的超导转变证据,包括明显的电阻下降、转变温度以下电阻出现平台、转变温度以上呈现线性(见图2b)。以上电阻行为均与铜氧化物超导电性高度相似,基本确定了零电阻效应。实验中低温仍然存在剩余电阻,可能与传压介质导致的压力不均匀有关。

图2. La3Ni2O7单晶样品高压下的电阻、抗磁性及超导上临界磁场拟合。
为了测量超导电性的另一个基本性质——迈斯纳效应,王猛教授研究团队与华南理工大学唐玲云、毛忠泉老师合作,在华南理工大学高压研究平台测量到了抗磁信号(见图2c)。结合电阻和磁化率测量,研究团队在实验上确认了镍氧化物压力下存在约80K的高温超导电性。本工作还在程金光研究员团队协助下在中国科学院物理研究所综合极端条件实验装置开展了14GPa以下的磁化率测量。La3Ni2O7中Ni的价态为正2.5价,远离人们此前认为容易出现超导电性的正1价。La3Ni2O7单晶样品中发现超过液氮温度的高温超导电性完全超出此前理论预期,是一个全新的高温超导材料。
王猛教授团队在北京同步辐射装置高压实验站开展了压力下的结构研究,发现超导电性出现的压力对应一个结构相变。由于X射线对氧离子并不敏感,无法准确确定相变后的结构。通过实验分析并结合姚道新教授团队对不同结构进行的焓的计算,提出La3Ni2O7相变时对应空间群由Amam到Fmmm的转变、在c方向Ni-O-Ni键由168°转变为180°(见图3c、3f)。姚道新教授和博士研究生胡训武对相变前后的电子能带结构进行了计算,发现在低压下(相变前)Ni的dx2-y2轨道电子穿过费米面,压力下dz2上移,接触费米面(见图4)。美 国亚利桑那州立大学韩艺丰博士参与了结构精修工作。

图3. La3Ni2O7高压下的同步辐射测量及结构分析。
姚道新教授和博士研究生胡训武利用密度泛函理论对结构相变前后的电子能带结构进行了详细计算,发现在低压下(相变前)Ni的dx2-y2轨道电子能带穿过费米面,高压下(相变后)dz2电子能带上移,触碰费米面(见图4),影响超导特性的主要是Ni的dx2-y2和dz2两个轨道,以及O的p轨道。
清华大学张广铭教授在理论上指出由于La3Ni2O7独特的双Ni-O层结构,在c方向Ni-O-Ni形成了成键态(bonding)和反键态(anti-bonding),分别为满占据态和空占据态。而面内起主要贡献的dx2-y2轨道近似为四分之一占据态(见图4)。在压力下,dz2对应的成键态能带伴随结构相变,从费米面以下上升到费米面——即σ键金属化,与超导电性发生直接相关。

图4. La3Ni2O7单晶样品电子能带结构计算及电子成键和占据态示意图。
本工作审稿阶段在科研论文预印平台arXiv公布后迅速受到超导领域研究人员广泛关注,在一个月左右的时间里已有十余篇理论和实验工作相继公布。镍氧化物高温超导体的发现无疑会推动高温超导机理的发展以及高温超导新材料的出现。
我院孙华蕾副研究员、博士研究生霍梦五同学为论文的共同第一作者,博士研究生李婧嫄、刘增家(已毕业)参与了实验研究工作,姚道新教授指导的博士研究生胡训武参与了理论计算工作,中山大学王猛教授和清华大学张广铭教授为论文共同通讯作者。中山大学的实验研究工作开展依托物理学院公共科研平台、广东省磁电物性分析与器件重点实验室及中子谱仪配套研究平台。理论计算工作依托中山大学国家超级计算广州中心。王猛教授团队得到了国家自然科学基金委面上项目、广东省基础与应用基础研究区域合作重点项目、广州市基础与应用基础研究项目以及中山大学百人计划启动经费等项目支持。