
中山大学物理学院的姚道新教授团队最近在镍氧超导体的理论研究中取得重要进展,在国际上首先提出了双层镍氧超导体的多轨道模型,并分析了其电磁性质。2023年9月20日,该成果以“Bilayer Two-Orbital Model of La3Ni2O7 under Pressure”为题,以中山大学为第一单位发表在国际著名物理刊物《物理评论快报》 (Physical Review Letters 131, 126001 (2023))。
高温超导体是目前国际上重要的科学前沿,研究者一直致力于解释其超导机理并提高超导转变温度。最近,中山大学王猛教授团队与合作者(包含姚道新教授)报道了双层镍氧化物在14Gpa压力下出现了80K(开尔文)的高温超导电性 (Nature 621, 493(2023)),这是继铜氧化物高温超导体之后第二类进入液氮温区的氧化物超导体,引发了广泛关注。对于科研工作者,理解该材料体系的超导机理及其潜在的独特物理机制显得尤为重要。
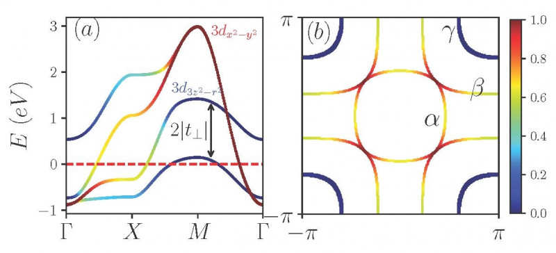
姚道新教授团队率先利用密度泛函理论对高压相的双层镍氧超导体进行了系统性计算,发现其电子能带在费米能附近与铜氧化物超导体显著不同。传统的铜氧化物超导体主要由二维单层铜氧面内的Cu-3dx2-y2轨道刻画。研究普遍认为,该轨道在强关联效应作用下,结合面内O-px, py轨道形成张-莱斯单态,并进一步促使超导转变。而新发现的双层镍氧超导体费米能附近包含Ni的dx2-y2和dz2两个轨道,以及面内和层间O的p轨道,这表明了层间的显著耦合作用。为了进一步理解其超导机理,理论上建立一个包含层间耦合与轨道杂化的模型成为关键。
基于理论计算与能谱分析,并结合瓦尼尔轨道投影,姚道新教授团队建立了一个双层两轨道模型(Bilayer two-orbital model)。该模型有效地反映了这样一个微观图像:(1)在无相互作用下,镍氧面内的dx2-y2电子进行着类似于铜氧面的跃迁过程;(2)沿c轴方向,相邻两个Ni-dz2轨道电子借助顶点氧进行很强的跃迁;(3)Ni-dx2-y2与dz2轨道主要沿面内近邻跃迁而发生杂化耦合。这些电子跃迁过程的系数、杂化强度、以及轨道格点能(Site-energy)由瓦尼尔投影结果给出,其结果准确地反映了高压相的费米面和电子能带。结合对称性分析,该模型被转化为一个成键-反键图像,其表明基态dz2轨道实际上形成了一种稳定的σ成键态,这是镍氧化物超导配对的关键因素。该团队进一步利用该模型计算了自旋磁化率,并预言了可能存在的密度波。
在这基础上,姚道新教授团队进一步提出了一个高能的11轨道模型。该模型包含了额外的7个O-p轨道和原先的4个Ni-d轨道(dx2-y2与dz2),从而构成一个更大的基矢空间,反映了一系列基本的Ni-O dp和O-O pp电子跃迁过程,包含了处于镍氧八面体范围内占据主导的最近邻和次近邻电子跃迁过程,以及镍与双层外侧氧原子的耦合。通过该模计算得到了电荷转移能为~3.88eV,该模型同时可进一步研究Ni-O-Ni超交换过程,这些对于深入理解材料体系的强关联特性和超导机理十分重要。
以上的工作,对于理解双层镍氧超导体的微观图像和超导机理起到了十分重要的作用,引起了国际上的广泛关注。该论文于2023年5月在预印本文库ArXiv上贴出后(ArXiv:2305.15564),目前已获得28次引用。在该理论模型的基础上,有关科研团队开展了双层镍氧超导体的超导配对态、氧缺陷、强关联特性、掺杂效应等研究。

图一:轨道分布和电子跃迁 (a) 双层两轨道模型 (b)11轨道模型

图二:双层两轨道模型给出的(a)电子能带(b)费米面
研究成果发表于2023年9月20日出版的Physical Review Letters 131, 126001 (2023) (DOI: doi.org/10.1103/PhysRevLett.131.126001)。
我院博士研究生罗志辉、胡训武为论文的共同第一作者,吴为副教授参与了理论工作,王猛教授进行了实验和理论的合作,姚道新教授为论文通讯作者。中山大学的理论研究工作依托物理学院公共科研平台和中子科学平台、广东省磁电物性分析与器件重点实验室、光电材料与技术国家重点实验室。计算工作依托中山大学国家超级计算广州中心。
上述工作得到了国家重点研发计划、国家自然科学基金、广东特支计划领军人才项目等的资助。
原文论文链接:https://link.aps.org/doi/10.1103/PhysRevLett.131.126001