
中山大学物理学院、广东省磁电物性分析与器件重点实验室的姚道新教授团队最近在新型镍基高温超导体的理论研究中取得重要进展,通过双层两轨道t-J模型和重整化平均场理论,发现双层镍氧化物La3Ni2O7的超导转变温度Tc可以接近实验上的80K,并在此基础上给出了高压下不同掺杂情况的超导配对相图,指出高压母体相具有s±波的配对特性,进一步分析了费米面的形状和超导配对对称性的关联, 有关成果以“High-TC superconductivity in La3Ni2O7 based on the bilayer two-orbital t-J model”为题,以中山大学为第一单位发表在物理期刊NPJ Quantum Materials (NPJ Quantum Materials 9, 61 (2024)).
2023年中山大学王猛教授团队与合作者在实验上发现了液氮温区镍基化物高温超导体La3Ni2O7,引起了国际高温超导领域的广泛关注。对于这一新型超导体系,研究者尤其关注其电子特性与超导配对机理。理论上,中山大学姚道新教授团队计算了La3Ni2O7的电子能带结构和费米面,提出了非常关键的双层两轨道模型和11轨道模型,揭示了这一体系独特的轨道占据特性,并指出层间dz2轨道的强耦合对于超导转变十分重要[Physical Review Letters 131, 126001 (2023)]。在此基础上,吴为副教授等研究了强关联下的电荷转移和超交换特性,并将其总结为双层两轨道t-J模型[SCPMA 67, 117402 (2024)]。
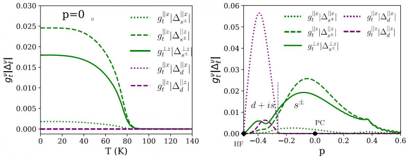
为了研究新型镍基超导体La3Ni2O7的高温超导电性,姚道新教授和吴为副教授通过双层两轨道模型和强耦合框架下的重整化平均场理论对其进行了创新性的研究。该方法使用Gutzwiller投影近似考虑了强关联作用对电荷、自旋的重整化效应,并对自旋交换项做平均场展开,并在此基础上做自洽求解,是一种非常有效的研究非常规超导体的理论方法。在这一工作中,他们系统研究了超导配对与温度、掺杂、费米面、超交换强度的关联。研究表明双层镍氧化物La3Ni2O7的超导序参量在80K附近具有明显变化,对应的超导转变温度Tc和实验非常接近。他们进一步研究了超导序参量随载流子掺杂改变的情况,表明La3Ni2O7的高压母体相具有显著的s±波对称性,与层间反铁磁关联紧密相关。另一方面,他们发现超导转变发生的位置恰好发生在最佳掺杂区域附近,一定程度上解释了为何La3Ni2O7具有如此高的转变温度。

图1:(a)La3Ni2O7母体超导序参量随温度的变化。(b)超导序参量随载流子掺杂的变化。

图2: 超导配对与两轨道载流子掺杂的相图。
进一步地,他们通过分别约束自洽解下的dx2-y2,dz2轨道电子占据,得到一个全面的掺杂依赖的配对相图。 计算表明,通过对La3Ni2O7母体的dx2-y2轨道引入电子掺杂,将有助于系统诱导出d波或者d+is波,这是因为电子掺杂有助于使dx2-y2轨道的电子占据从~1/4变为接近半满,从而回归到接近铜氧超导体的情形。在这种情况下,面内dx2-y2轨道的超导涨落将与层间dz2轨道形成竞争而成为共存相。

图3:超导配对能隙函数和费米面的关联。
当超导体处于转变温度之下时,实验上可直接探测费米面能谱,进而揭示超导能隙与相位信息。鉴于此,姚道新教授和吴为副教授进一步研究了不同费米面形状下的能隙函数。他们的结果表明,对于La3Ni2O7高压母体相的s±波,其主要特征是α,γ口袋具有相同相位,而β相位则相反。这是因为前两者均源于成键结构,而后者来自反键结构。值得注意的是,对于d+is波,其超导能隙也呈现有趣的混合特征,即d波能隙结构会出现在α,β口袋,而s±波则维持在γ口袋。此外,理论分析还表明s±波并不会受到洪特相互作用及其他交换作用的显著影响,系统还有可能存在赝能隙态,这些结论有望通过未来实验进一步验证。
研究成果于2024年8月13日发表在NPJ Quantum Materials 9, 61 (2024)(DOI: https://doi.org/10.1038/s41535-024-00668-w)。
中山大学物理学院、广东省磁电物性分析与器件重点实验室博士研究生罗志辉、硕士研究生吕彪为论文的共同第一作者,中山大学姚道新教授、吴为副教授为通讯作者,中山大学王猛教授参与了该项工作。中山大学的理论研究工作依托物理学院公共科研平台和中子科学平台、广东省磁电物性分析与器件重点实验室、广东省磁电物性基础学科研究中心(物理学)、光电材料与技术国家重点实验室、高等学术研究中心。计算工作依托中山大学国家超级计算广州中心。
上述工作得到了国家重点研发计划、国家自然科学基金、广东特支计划领军人才项目等的资助。
原文链接: